Your Simpangan rata rata dari data 4 6 8 2 5 adalah images are available. Simpangan rata rata dari data 4 6 8 2 5 adalah are a topic that is being searched for and liked by netizens today. You can Get the Simpangan rata rata dari data 4 6 8 2 5 adalah files here. Get all royalty-free photos.
If you’re searching for simpangan rata rata dari data 4 6 8 2 5 adalah images information linked to the simpangan rata rata dari data 4 6 8 2 5 adalah keyword, you have pay a visit to the right site. Our site frequently gives you suggestions for downloading the highest quality video and picture content, please kindly hunt and locate more enlightening video content and graphics that fit your interests.
Simpangan Rata Rata Dari Data 4 6 8 2 5 Adalah. Jawaban yang benar untuk pertanyaan itu. 6 4. Simpangan Rata-rata dari data 46825adalah. Untuk mendapatkan rata-rata Anda harus mengumpulkan data baik melalui eksperimen atau soal yang diberikan kepada Anda.
Simpangan Rata Rata Ragam Varians Simpangan Baku Standar Deviasi Youtube From youtube.com
Kelompok data ini cukup kecil sehingga orang dapat dengan mudah mengetahui bahwa ada 8 nilai data. Contoh nilai-nilai data adalah 6 7 10 12 13 4 8 dan 12. Simpangan rata rata dari data. Jawaban yang benar - Simpangan rata-rata dari data. Preview this quiz on Quizizz. Rumus simpangan baku sebernanya cukup mudah asalkan kita memahami secara rinci mulai dari pengertian fungsi dan macam macamnya.
Maka simpangan rata-rata S R 6717 71 946.
Contoh nilai-nilai data adalah 6 7 10 12 13 4 8 dan 12. Penyelesaian soal pembahasan. Data tinggi 10 balita dalam cm sebagai berikut. F 1 x 2. F 4 x 4. F 4 x 5.
Source: brainly.co.id
Simpangan kuartil data di atas adalah. F 3 x 4. Statistika Data Simpangan Rata-Rata. About Press Copyright Contact us Creators Advertise Developers Terms Privacy Policy Safety How YouTube works Test new features Press Copyright Contact us Creators. 4 3.
Source: iniberbagidata.blogspot.com
Untuk mendapatkan rata-rata Anda harus mengumpulkan data baik melalui eksperimen atau soal yang diberikan kepada Anda. QUIZZIZ UKURAN PEMUSATAN DAN PENYEBARAN DATA TUNGGAL DRAFT. Preview this quiz on Quizizz. F 4 x 5. F 1 x 2.
Source: masdayat.net
Simpangan kuartil data di atas adalah. Untuk mendapatkan rata-rata Anda harus mengumpulkan data baik melalui eksperimen atau soal yang diberikan kepada Anda. Maka simpangan rata-rata S R 6717 71 946. Simpangan baku data. Question from ymsmatic - Matematika.
Source: brainly.co.id
F 1 x 2. QUIZZIZ UKURAN PEMUSATAN DAN PENYEBARAN DATA TUNGGAL DRAFT. Jawaban yang benar untuk pertanyaan itu. Pertama-tama kita hitung rata-rata dari data di atas selanjutnya mencari simpangan rata-ratanya. Tentukan dahulu nilai rata-rata data tabel frekuensi diatas dengan rumus dibawah ini.
Source: brainly.co.id
Penghasilan rata rata untuk 6 orang adalah rp. Simpangan Rata-rata dari data 46825adalah. Jawaban yang benar - Simpangan rata-rata dari data. 15 Questions Show answers. Simpangan rata-rata dari data 2 6 5 4 8 5 adalah.
Source: brainly.co.id
F 1 x 2. Simpangan Rata-rata dari data 46825adalah. Preview this quiz on Quizizz. About Press Copyright Contact us Creators Advertise Developers Terms Privacy Policy Safety How YouTube works Test new features Press Copyright Contact us Creators. Simpangan baku data.
Source: youtube.com
Simpangan rata rata dari data. 3 5. Simpangan rata - rata dari data 4 6 8 5 4 9 5 7 adalah. 2 5 7 4 3 11 3 menggunakan kalkulator ilmiah fx-3600Pv adalah seperti dibawah ini. About Press Copyright Contact us Creators Advertise Developers Terms Privacy Policy Safety How YouTube works Test new features Press Copyright Contact us Creators.
Source: brainly.co.id
Contoh nilai-nilai data adalah 6 7 10 12 13 4 8 dan 12. Data tinggi 10 balita dalam cm sebagai berikut. 12 32 45 21 25 16 17 30 33 15 35 38 40 12 23 14 adalah. Simpangan rata-rata dari data 2 6 5 4 8 5 adalah. F 1 f 2 f 3 f 4 f 5.
Source: brainly.co.id
Simpangan Rata-rata dari data 46825adalah. Preview this quiz on Quizizz. Jawaban yang benar untuk pertanyaan itu. Kelompok data ini cukup kecil sehingga orang dapat dengan mudah mengetahui bahwa ada 8 nilai data. Simpangan rata - rata dari data 4 6 8 5 4 9 5 7 adalah.
Source: youtube.com
2 4 6 3 5. 12 32 45 21 25 16 17 30 33 15 35 38 40 12 23 14 adalah. Simpangan rata rata dari data 2 5 4 8 7 6 3 adalahtolong jawab ya kak. 2 5 7 4 3 11 3 menggunakan kalkulator ilmiah fx-3600Pv adalah seperti dibawah ini. Simpangan rata - rata dari data 4 6 8 5 4 9 5 7 adalah.
Source: brainly.co.id
4 6 5 5 3 7 adalah. F 4 x 5. Simpangan rataan hitung seperti diatas menunjukan rataan hitung jauhnya datum dari rataan hitung. Simpangan baku data. Question from ymsmatic - Matematika.
Source: youtube.com
15 Questions Show answers. QUIZZIZ UKURAN PEMUSATAN DAN PENYEBARAN DATA TUNGGAL DRAFT. Tentukan dahulu nilai rata-rata data tabel frekuensi diatas dengan rumus dibawah ini. 2 2. F 4 x 4.
Source: brainly.co.id
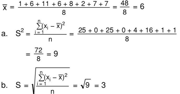
Jadi simpangan rata-rata dari data di atas adalah 15 Jawaban. Simpangan rata - rata dari data 4 6 8 5 4 9 5 7 adalah. Jawaban yang benar untuk pertanyaan itu. Cara menghitung simpangan baku dari data kuantitatif. F 3 x 4.
Source: brainly.co.id
Statistika Data Simpangan Rata-Rata. 2 4 6 3 5. Maka simpangan rata-rata S R 6717 71 946. Simpangan baku data. Statistika Data Simpangan Rata-Rata.
Source: brainly.co.id
Simpangan Rata-rata dari data 46825adalah. Simpangan rata-rata dari data 2 6 5 4 8 5 adalah. Untuk mendapatkan rata-rata Anda harus mengumpulkan data baik melalui eksperimen atau soal yang diberikan kepada Anda. Simpangan rataan hitung seperti diatas menunjukan rataan hitung jauhnya datum dari rataan hitung. Jawaban yang benar untuk pertanyaan itu.
Source: masdayat.net
Statistika Data Simpangan Rata-Rata. F 2 x 3. Rumus simpangan baku sebernanya cukup mudah asalkan kita memahami secara rinci mulai dari pengertian fungsi dan macam macamnya. Simpangan baku data. 4 3.
Source: slidetodoc.com
Saharjo No161 Manggarai Selatan Tebet Kota Jakarta Selatan Daerah. Simpangan rata - rata dari data 4 6 8 5 4 9 5 7 adalah. Penghasilan rata rata untuk 6 orang adalah rp. Simpangan rata - rata dari data 4 6 8 5 4 9 5 7 adalah. 15 Questions Show answers.
Source: masdayat.net
12 32 45 21 25 16 17 30 33 15 35 38 40 12 23 14 adalah. Preview this quiz on Quizizz. 6 4. Jadi simpangan rata-rata dari data di atas adalah 15 Jawaban. Pertama-tama kita hitung rata-rata dari data di atas selanjutnya mencari simpangan rata-ratanya.
This site is an open community for users to do submittion their favorite wallpapers on the internet, all images or pictures in this website are for personal wallpaper use only, it is stricly prohibited to use this wallpaper for commercial purposes, if you are the author and find this image is shared without your permission, please kindly raise a DMCA report to Us.
If you find this site beneficial, please support us by sharing this posts to your favorite social media accounts like Facebook, Instagram and so on or you can also save this blog page with the title simpangan rata rata dari data 4 6 8 2 5 adalah by using Ctrl + D for devices a laptop with a Windows operating system or Command + D for laptops with an Apple operating system. If you use a smartphone, you can also use the drawer menu of the browser you are using. Whether it’s a Windows, Mac, iOS or Android operating system, you will still be able to bookmark this website.




