Your Soal dan jawaban tentang fraktur images are ready. Soal dan jawaban tentang fraktur are a topic that is being searched for and liked by netizens now. You can Download the Soal dan jawaban tentang fraktur files here. Get all free photos.
If you’re searching for soal dan jawaban tentang fraktur images information related to the soal dan jawaban tentang fraktur keyword, you have come to the ideal blog. Our site always gives you hints for seeing the maximum quality video and image content, please kindly surf and find more enlightening video articles and images that match your interests.
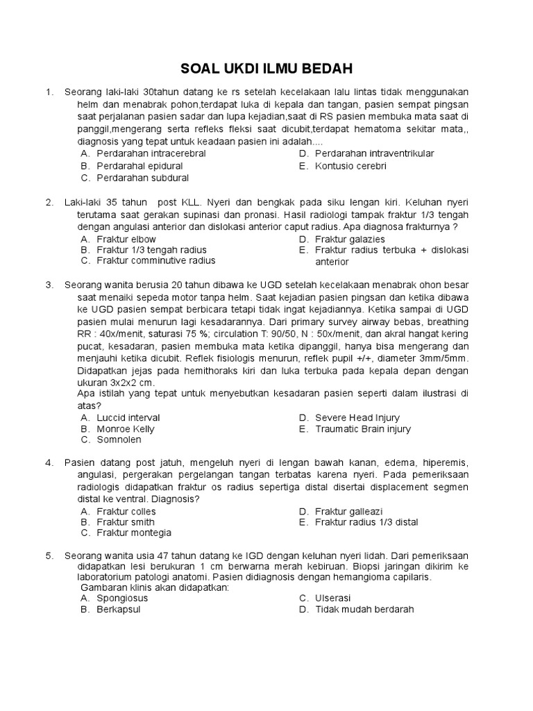
Soal Dan Jawaban Tentang Fraktur. Apakah pasien trauma atau tidak. Lakukan Health Education pada pasien dan keluarga. Metode fifo lifo dan average beserta contoh soal dan penyelesaiannya menghitung persediaan dengan metode fifo lifo dan average itu artinya kita akan menyelesaikannya dengan cara menggunakan dua sistem. Soal Ekonomi Akuntansi Beserta Jawaban Artikel kali ini akan menyajikan beberapa latihan soal ujian nasional tahun 2019 mata pelajaran ekonomi beserta pembahasannya.
Soal Kunci Jawaban Dan Pembahasan Ukom Perawat From slideshare.net
Lakukan Health Education pada pasien dan keluarga. 65 Soal Keperawatan Gawat Darurat Lengkap Jawaban. Hasil pemeriksaan didapatkan gds 50 mg dl. TUGAS MUSKULOSKELETAL Disusun oleh. Soal pilihan ganda tentang diabetes melitus. Soal Ekonomi Akuntansi Beserta Jawaban Artikel kali ini akan menyajikan beberapa latihan soal ujian nasional tahun 2019 mata pelajaran ekonomi beserta pembahasannya.
Contoh Soal Uji Kompetensi UKOM Kasus Keperawatan Medikal Bedah KMB dan Kunci Jawaban.
Sebutkan 2 diagnosa keperawatan yang muncul pada pasien post operasi fraktur dan jelaskan intervensi pada masing-masing diagnosa. Contoh soal vektor dan pembahasannya beserta jawabannya by azzahra rahmah posted on january 7 2020 rumus co id pada kesempatan kali ini kita akan membahas mengenai contoh soal tentang vektor matematika untuk sd smp sma dan pada kesempatan sebelumnya kita juga telah membahas tentang soal olimpiade ipa sd tahun 2019 nah untuk saat ini materi lengkap tentang contoh soal mengenai vektor 2 dan. Sebutkan 2 diagnosa keperawatan yang muncul pada pasien post operasi fraktur dan jelaskan intervensi pada masing-masing diagnosa. CONTOH SOAL UJIAN MUSKULOSKELETAL. Nyeri akut bd terputusnya kontinuitas jaringan. Contoh soal kasus fraktur.
Source: herusetianto.com
Selesaikan dan tentukan bobot minimum dengan menggunakan algoritma Kruskal. Soal dan jawaban tentang bola voli pilihan ganda adalah topik yang kami ulas. CONTOH SOAL UJIAN MUSKULOSKELETAL. Latihan Soal Kewirausahaan Kelas Xi. Kami berharap semoga pembahasan mengenai contoh soal kasus fraktur berikut.
Source: id.scribd.com
Diabetes mellitus tipe 2 pdf and 2015 2018. Soal ukom perawat dan Kunci Jawaban Lengkapdocx. Sebutkan 2 diagnosa keperawatan yang muncul pada pasien post operasi fraktur dan jelaskan intervensi pada masing-masing diagnosa. Soal uji kompetensi UKOM perawat beserta kunci jawabannya tahun 2015 2016 2017 2018 2019 2020. Soal dan jawaban tentang bola voli pilihan ganda adalah topik yang kami ulas.
Source: 123dok.com
1definisi wirausaha adalah asikap selalu berpikir positif dalam menghadapi segala hal borang yang menjalankan usaha atau perusahaan dengan kemungkinan untung atau rugi csikap yang selalu ingin tahuPosted by ridwan posted on february 11 2014 with 6 comments. Soal Dan Jawaban Tentang Wirausaha Dan Kewirausahaan. A bila jawaban 123 benar B bila jawaban1 dan 3 benar C bila jawaban 2 dan 4 benar D bila jawaban 4 saja yang benar E bila semua. Apakah pasien henti nafas atau tidak. Kepemimpinan soal dan jawaban latihan soal pilihan ganda tentang kepemimpinan lengkap jawaban.
Source: id.scribd.com
Contoh soal pilihan ganda cause and effect beserta jawabannya Soal Dan Jawaban Matematika Kelas 4 Kurikulum 2013 Download Soal dan Kunci Jawaban PATUKK Kelas 4 Tema 8 SD Soal uas semester genap mata pelajaran matematika kelas 4 kurikulum 2013 k13 terdiri dari soal. CONTOH SOAL UJIAN MUSKULOSKELETAL. Soal ukom perawat dan Kunci Jawaban Lengkapdocx. Inilah contoh soal kasus fraktur dan informasi lain yang masih ada hubungannya dengan topik contoh soal kasus fraktur yang Anda cari. 65 Soal Keperawatan Gawat Darurat Lengkap Jawaban.
Source: studindo.vercel.app
Mengatakan bahwa klien bisa tuli jika tidak fracture. Mengatakan bahwa klien bisa tuli jika tidak fracture. Inilah contoh soal kasus fraktur dan informasi lain yang masih ada hubungannya dengan topik contoh soal kasus fraktur yang Anda cari. Contoh Soal Ukom Ners dan Kunci Jawaban Part 3 Uji kompetensi adalah salah satau ujian yang digelar untuk lulusan perawat baik vokasi ataupun profesi ners. Perencanaan pengorganisasian pembentukan staf kepemimpinan dan pengendalian.
Source: id.scribd.com
Kami berharap semoga pembahasan mengenai contoh soal kasus fraktur berikut. 65 Soal Keperawatan Gawat Darurat Lengkap Jawaban. Pengertian dan contoh jurnal transaksi penerbitan saham perseroan terbatas. Selesaikan dan tentukan bobot minimum dengan menggunakan algoritma Kruskal. SOAL DAN JAWABAN SISTEM MUSCULO SCELETAL.
Source: mkh.sch.id
Latihan Soal Kewirausahaan Kelas Xi. Contoh Soal Ukom Ners dan Kunci Jawaban Part 3 Uji kompetensi adalah salah satau ujian yang digelar untuk lulusan perawat baik vokasi ataupun profesi ners. 9 rows Dibawah ini adalah kisi contoh soal UKOM Gawat Darurat beserta Kunci. Selesaikan dan tentukan bobot minimum dengan menggunakan algoritma Kruskal. Contoh Soal Uji Kompetensi UKOM Kasus Keperawatan Medikal Bedah KMB dan Kunci Jawaban.
Source: id.scribd.com
Detail contoh soal dan jawaban tentang pohon keputusan pdf dapat kamu nikmati dengan cara klik link download dibawah dengan mudah tanpa adanya iklan yang mengganggu. Pemimpin bertipe intuitive thinkers antara lain memiliki karakteristik. Pada pemeriksaan keadaan anaknya. Agustus 27 2013 in Uncategorized. Kami berharap semoga pembahasan mengenai contoh soal kasus fraktur berikut.
Source: studylibid.com
Pemimpin bertipe intuitive thinkers antara lain memiliki karakteristik. Pemimpin bertipe intuitive thinkers antara lain memiliki karakteristik. Contoh soal kasus fraktur. Latihan Soal Kewirausahaan Kelas Xi. Kunci Jawaban Buku Siswa Tema 7 Kelas 6 Halaman 133 134 135 Di 2020 Buku Kepemimpinan Belajar.
Source: academia.edu
Perempuan 50 tahun datang ke poliklinik denga keluhan nyeri pada tangan kanan disertai rasa tebal dan kesemutan pada sekitar ibu jari sudah dirasakan - 1 tahun yang bertambah hebat pada malam hari. Perempuan 50 tahun datang ke poliklinik denga keluhan nyeri pada tangan kanan disertai rasa tebal dan kesemutan pada sekitar ibu jari sudah dirasakan - 1 tahun yang bertambah hebat pada malam hari. Pengertian dan contoh jurnal transaksi penerbitan saham perseroan terbatas. Ibu sering bertanya tentang disertai panas dan batuk pilek. Mengatakan bahwa klien bisa tuli jika tidak fracture.
Source: slideshare.net
Inilah contoh soal kasus fraktur dan informasi lain yang masih ada hubungannya dengan topik contoh soal kasus fraktur yang Anda cari. Apakah pasien henti nafas atau tidak. Pengertian dan contoh jurnal transaksi penerbitan saham perseroan terbatas. Saham Preferen dengan nilainominal Rp 125000000000- 10000000 lembar dan bunga deviden sebesar 8 per tahun dan harga pasar saat ini sebesar Rp 135000000000-. Uji Kompetensi merupakan kepanjangan dari Ukom.
Source: rismaxid.blogspot.com
Kami berharap semoga pembahasan mengenai contoh soal kasus fraktur berikut. Tanpa lulus Ukom maka seorang belum dapat mengurus pembuatan STR Surat Tanda Registrasi perawat. Saham Preferen dengan nilainominal Rp 125000000000- 10000000 lembar dan bunga deviden sebesar 8 per tahun dan harga pasar saat ini sebesar Rp 135000000000-. Soal Dan Jawaban Tentang Wirausaha Dan Kewirausahaan. Kami berharap semoga pembahasan mengenai contoh soal kasus fraktur berikut.
Source: id.scribd.com
Soal Dan Jawaban Tentang Wirausaha Dan Kewirausahaan. Kami berharap semoga pembahasan mengenai contoh soal kasus fraktur berikut. Soal uji kompetensi UKOM perawat beserta kunci jawabannya tahun 2015 2016 2017 2018 2019 2020. Seorang anak berusia 12 tahun mengalami fraktur tindakan keperawatan pada 13 femur distal dextra dengan jenis close c. Kunci Jawaban Buku Siswa Tema 7 Kelas 6 Halaman 133 134 135 Di 2020 Buku Kepemimpinan Belajar.
Source: id.scribd.com
Contoh soal kasus fraktur. Dari soal-soal dibawah ini kami rangkum dari berbagai pembahasan mulai dari cara penanganan kasus pertolongan pertama dasar jenis dari pertolongan pertama dan masih banyak lagi. Saham Preferen dengan nilainominal Rp 125000000000- 10000000 lembar dan bunga deviden sebesar 8 per tahun dan harga pasar saat ini sebesar Rp 135000000000-. Perencanaan pengorganisasian pembentukan staf kepemimpinan dan pengendalian. SOAL DAN JAWABAN SISTEM MUSCULO SCELETAL.
Source: slideshare.net
Seorang anak berusia 12 tahun mengalami fraktur tindakan keperawatan pada 13 femur distal dextra dengan jenis close c. Contoh soal vektor dan pembahasannya beserta jawabannya by azzahra rahmah posted on january 7 2020 rumus co id pada kesempatan kali ini kita akan membahas mengenai contoh soal tentang vektor matematika untuk sd smp sma dan pada kesempatan sebelumnya kita juga telah membahas tentang soal olimpiade ipa sd tahun 2019 nah untuk saat ini materi lengkap tentang contoh soal mengenai vektor 2 dan. Perencanaan pengorganisasian pembentukan staf kepemimpinan dan pengendalian. P Fenny Wahyu Putri Dewi Melasari STIKes MAHARDIKA CIREBON Pilih salah satu jawaban yang paling tepat Pilihan. Contoh Soal Ukom Ners dan Kunci Jawaban Part 3 Uji kompetensi adalah salah satau ujian yang digelar untuk lulusan perawat baik vokasi ataupun profesi ners.
Source: id.scribd.com
Pohon Membentuk pohon merentang minimum T dari graf terhubung- berbobot G. Mengatakan bahwa klien bisa tuli jika tidak fracture. Tanpa lulus Ukom maka seorang belum dapat mengurus pembuatan STR Surat Tanda Registrasi perawat. Berikut soal diabetes mellitus beserta jawaban. Dari soal-soal dibawah ini kami rangkum dari berbagai pembahasan mulai dari cara penanganan kasus pertolongan pertama dasar jenis dari pertolongan pertama dan masih banyak lagi.
Source: id.scribd.com
Soal pilihan ganda tentang diabetes melitus. Contoh soal vektor dan pembahasannya beserta jawabannya by azzahra rahmah posted on january 7 2020 rumus co id pada kesempatan kali ini kita akan membahas mengenai contoh soal tentang vektor matematika untuk sd smp sma dan pada kesempatan sebelumnya kita juga telah membahas tentang soal olimpiade ipa sd tahun 2019 nah untuk saat ini materi lengkap tentang contoh soal mengenai vektor 2 dan. Diabetes mellitus tipe 2 pdf and 2015 2018. Kami berharap semoga pembahasan mengenai contoh soal kasus fraktur berikut. Uji Kompetensi merupakan kepanjangan dari Ukom.
Source:
Pemimpin bertipe intuitive thinkers antara lain memiliki karakteristik. Perempuan 50 tahun datang ke poliklinik denga keluhan nyeri pada tangan kanan disertai rasa tebal dan kesemutan pada sekitar ibu jari sudah dirasakan - 1 tahun yang bertambah hebat pada malam hari. Diabetes mellitus tipe 2 pdf and 2015 2018. Contoh kasus diabetes melitus di semarang tahun 2019. Contoh Soal Dan Jawaban Tentang Saham Dan Obligasi Deviden saham pt sun profit dibayarkan setiap tanggal 31.
This site is an open community for users to share their favorite wallpapers on the internet, all images or pictures in this website are for personal wallpaper use only, it is stricly prohibited to use this wallpaper for commercial purposes, if you are the author and find this image is shared without your permission, please kindly raise a DMCA report to Us.
If you find this site serviceableness, please support us by sharing this posts to your own social media accounts like Facebook, Instagram and so on or you can also bookmark this blog page with the title soal dan jawaban tentang fraktur by using Ctrl + D for devices a laptop with a Windows operating system or Command + D for laptops with an Apple operating system. If you use a smartphone, you can also use the drawer menu of the browser you are using. Whether it’s a Windows, Mac, iOS or Android operating system, you will still be able to bookmark this website.





